ISC Chemistry Exam 2026 LIVE: Answer Key; Student Reviews & Expert Analysis
ISC Chemistry Exam 2026
: The ISC Chemistry Paper 1 theoretical exam has been concluded. As per the feedback received,
the ISC Chemistry 2026 exam was moderate to difficult level. Candidates got a mix of direct and tricky questions, and there were no out-of-syllabus questions. The test takers needed much time to solve the calculation-based questions. A few of the test takers also informed that the paper was lengthy.
The ISC Paper 1 Chemistry exam is worth 70 marks and is divided into four sections, with 21 questions. Section A has 14 subparts, and each question is worth 1 mark. Sections B, C, and D have 10 questions, 7 questions, and 3 questions, respectively
.
Candidates will get internal choices provided in Sections B, C, and D. Candidates will get marks as per the sectional weightage if they correctly answer the questions. Note that no negative marking is there for the incorrect answers.
- If you appear for the ISC Chemistry 2026 exam today, share your feedback with us. Click here to submit your Review .
ISC Chemistry Exam 2026 Unofficial Answer Key 2026
Check out the ISC Chemistry 2026 unofficial answer key for the mcq based questions here:
| Number of Questions | Correct Answers |
|---|---|
| Question 1. A. |
i. Lucas
ii. alc. KCN, alc. AgCN iii. First, Two iv. Increase, Decrease |
| Question 1. B. |
i. Option d
ii. Option a iii. Option c iv. Option b v. Option d vi. Option a vii. Option d |
| Question 1. C. |
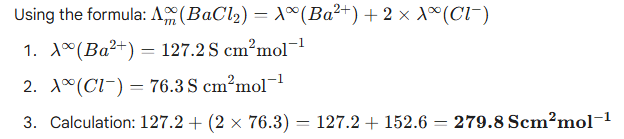
i. Kohlrausch's Law of Independent Migration of Ions states that the limiting molar conductivity of an electrolyte (the molar conductivity at infinite dilution) can be represented as the sum of the individual contributions of its constituent anions and cations.
ii. ![]() iii. ![]() Comparing the two results: CaSO 4 (279.0) < BaCl 2 (279.8) |
| Question 2. |
i. The rate of reaction increases 9 times
ii. The rate of reaction increases 8 times |
| Question 3. |
i.
ii. The compound is undergoing association, since the observed molecular mass is higher than the theoretical mass. |
| Question 4. |
i. Tetraamminedichloridoplatinum(IV) sulfate
ii. Potassium tetracyanidonickelate(II) |
| Question 5. |
i.
ii. |
| Question 6. | -119,660J/ mol or -119.66kJ/mol |
| Question 7. |
i.
ii. |
| Question 8. |
Step 1: Find Rate Constant (
k
) for 40% completion in 20 min:
Step 2: Find time ( t ) for 90% completion: |
| Question 9. |
i. Tollen's Test
ii. Sodium Bicarbonate (NaHCO 3 ) Test |
ISC Chemistry Exam 2026: Important Highlights
Here are the major highlights related to the ISC Chemistry 2026 exam:
Particulars | Details |
|---|---|
ISC 12th exam date 2026 | February 23, 2026 (Monday) |
ISC Class 12 exam time | In the afternoon, from 2 PM to 5 PM |
Total marks | 70 marks |
Total sections | 4 sections
|
Section-wise questions asked |
|
Section-wise marks distribution |
|
Number of questions asked | 1 mark, 2 marks, 3 marks, and 5 marks |
Note that before starting the exam, the candidates will be given Chemistry questions to read at 1.45 PM. They will not be allowed to start answering before 2 PM.
ISC Chemistry Exam 2026 LIVE
09 00 PM IST - 23 Feb'26
When will ISC Mathematics and Physics exam will take place?
- February 25, 2026: Mathematics
- March 3, 2026: Physics
08 00 PM IST - 23 Feb'26
What if I shall not get passing marks in ISC Chemistry 2026 exam?
If the candidates get less than 35% marks in the ISC Chemistry 2026 exam, then they will get a chance to improve their marks. For the same reason, they should appear for the compartment exams. The date of the ISC Compartment exams will be announced later once the result is declared.
07 00 PM IST - 23 Feb'26
ISC Chemistry Exam 2026: When will release the result?
The authority is yet to announce the official date of releasing the ISC result 2026. Typically, the CISCE takes 6 to 8 weeks to release the results from the date of exam commencement. This indicates that the ISC result 2026 will likely be released in May 2026.
06 23 PM IST - 23 Feb'26
ISC Chemistry Exam 2026: Unofficial Answer Key is Available
The test takers can find out the ISC Chemistry 2026 exam unofficial answer key for the MCQs here. Based on that the candidates can find out their performance in Section A.
06 00 PM IST - 23 Feb'26
What is the passing marks for ISC Chemistry Exam 2026
- Paper 1 (Theory): 25 marks
- Paper 2 (Practical/ Project): 11 marks
- Total passing marks: 35 marks
05 00 PM IST - 23 Feb'26
ISC Chemistry exam 2026: Exam Ends
The ISC Chemistry 2026 exam has ended. Soon the test takers will leave the exam hall and the CollegeDekho team will connect them for collecting their feedbck.
02 00 PM IST - 23 Feb'26
ISC Chemistry exam 2026: Exam Starts
The ISC Chemistry 2026 exam has started, which will end at 5 PM. After that, the CollegeDekho experts will analyse the unofficial answer keys of the ISC Chemistry questions.
01 00 PM IST - 23 Feb'26
Do I need to carry any rough sheet to the exam centre?
No, the candidates do not need to carry any worksheet on their own to the exam centre. If required, the candidates will be provided with the rough sheet inside the exam hall.
12 00 PM IST - 23 Feb'26
When the ISC Chemistry exam 2026 question paper will be submitted?
Candidates will be submitted the ISC Chemistry 2026 question paper at 1.45 PM, that is 15 minutes before the scheduled exam time. During that time, the candidates will not be allowed to write down the answers. It is advised to read the questions very carefully during then.
11 00 AM IST - 23 Feb'26
What is the reporting time for ISC Chemistry 2026 exam?
Candidates should reach the exam centre by 1.15 PM on February 23, 2026. Post that no one will be allowed to enter the exam hall.
10 00 AM IST - 23 Feb'26
Can I bring hardcopy of the ISC admit card 2026 to the exam centre?
No, the candidates will not be allowed to enter the exam centre with the hard copy of the ISC admit card. Only the original admit card will be accepted. Entry without the ISC original admit card will be prohibited inside the exam hall.
09 00 AM IST - 23 Feb'26
ISC Chemistry Exam 2026: Exam Day Guidelines
- Candidates should carry their ISC admit card 2026 (original) to the exam centre
- Try to reach the exam centre before 1.15 PM on February 23, 2026
- Do not bring any electronic gadgets, smart watches, or any devices inside the exam hall
- Don't try to do any kind of cheating inside the exam centre, otherwise, the candidates will be debarred from the exam
08 00 AM IST - 23 Feb'26
ISC Chemistry Exam 2026: Previous Year's Question (34)
(i) The rate constants of a reaction at 500K and 700K are 0·02 sec-1 and 0·07 sec-1, respectively. Calculate the value of Ea (activation energy)
(ii) A radioactive substance that emits an alpha particle follows first order reaction. The half-life period of this radioactive substance is 30 hours. Calculate the fraction in percent (%) of the radioactive substance that remains after 90 hours.
07 00 AM IST - 23 Feb'26
ISC Chemistry Exam 2026: Previous Year's Question (33)
Ques. Give a chemical test to distinguish between the following pairs of compounds.
(a) Ethanol and methanol (b) Ethanol and Ethanal (c) Propan-2-ol and 2-methyl propan-2-ol
06 00 AM IST - 23 Feb'26
ISC Chemistry Exam 2026: Previous Year's Question (32)
Identify the compounds [A], [B], and [C] in each of the following reactions.

Answer:
[A]: Benzene Diazonium Chloride
[B]: Benzonitrile
[C]: Benzoic Acid
05 00 AM IST - 23 Feb'26
ISC Chemistry Exam 2026: Previous Year's Question (31)
An organic compound C2H4O gives a red precipitate when heated with Fehling solution. It also undergoes aldol condensation in the presence of dilute NaOH.
(i) Identify the organic compound and write its IUPAC name.
(ii) Which compound will be formed when this organic compound reacts with hydroxylamine?
(iii) What is observed when the compound, referred to in subpart (i), is heated with ammonical silver nitrate?
04 00 AM IST - 23 Feb'26
ISC Chemistry Exam 2026: Previous Year's Question (30)
(i) Aradhana visits a physician as she is suffering from rickets and joint pain. Which fat-soluble vitamin should the physician prescribe to her?
(ii) Somesh put a few drops of vinegar in milk. What change do you think he observed in the milk after some time? What is this phenomenon known as?
(iii) Name the product of the hydrolysis of sucrose. Is it a reducing sugar or a non-reducing sugar?
03 00 AM IST - 23 Feb'26
ISC Chemistry Exam 2026: Previous Year's Question (29)
(i) Illustrate the following reactions by giving one suitable example in each case.
(a) Coupling reaction
(b) Acetylation of ethylamine
(ii) Aniline does not give Friedel – Crafts reaction. Give a reason.
02 00 AM IST - 23 Feb'26
ISC Chemistry Exam 2026: Previous Year's Question (28)
(i) Why is Mn+2 ion more stable than Fe+2 ion? (Atomic number of Mn = 25 and Fe = 26)
(ii) Trivalent Lanthanoid ions such as La3+ (Z = 57) and Lu3+ (Z = 71) do not show any colour in their solution. Give a reason.
01 00 AM IST - 23 Feb'26
ISC Chemistry Exam 2026: Previous Year's Question (27)
(i) Benzaldehyde is less reactive than propionaldehyde. Why?
(ii) In the preparation of ethanal by the oxidation of ethanol, ethanal should be removed immediately as it is formed. Why?
12 00 AM IST - 23 Feb'26
ISC Chemistry Exam 2026: Previous Year's Question (26)
Give a reason for each of the following.
(a) Ethoxy ethane does not react with sodium, but ethanol does.
(b) Methoxy ethane with conc. HI at 373K gives C2H5OH and CH3I but not CH3OH and C2H5I.
11 00 PM IST - 22 Feb'26
ISC Chemistry Exam 2026: Previous Year's Question (25)
Ques. Calculate the maximum possible electrical work that can be obtained from a galvanic cell under standard conditions at 298 K.

10 00 PM IST - 22 Feb'26
ISC Chemistry Exam 2026: Previous Year's Question (24)
How will you bring the following conversions?
(i) Benzene to biphenyl (ii) Iodoform to acetylene
09 30 PM IST - 22 Feb'26
ISC Chemistry Exam 2026: Previous Year's Question (23)
Give a reason for each of the following.
(i) Zinc, cadmium, and mercury are considered d-block elements but not regarded as transition elements.
(ii) Transition metals possess a great tendency to form complex compounds.
09 00 PM IST - 22 Feb'26
ISC Chemistry Exam 2026: Previous Year's Question (22)
(i) Write a chemical test to distinguish between ethanol and phenol.
(ii) Give a chemical reaction to convert acetaldehyde into secondary propyl alcohol.
08 30 PM IST - 22 Feb'26
ISC Chemistry Exam 2026: Previous Year's Question (21)
Assertion: Ammonolysis of alkyl halides involves the reaction between alkyl halides and alcoholic ammonia.
Reason: Ammonolysis of alkyl halides produces secondary amines only.
(a) Both Assertion and Reason are true and Reason is the correct explanation for Assertion.
(b) Both Assertion and Reason are true but Reason is not the correct explanation for Assertion.
(c) Assertion is true but Reason is false.
(d) Assertion is false but Reason is true.
Answer: (c) Assertion is true but Reason is false.
08 00 PM IST - 22 Feb'26
ISC Chemistry Exam 2026: Previous Year's Question (20)
Assertion: Specific conductivity of all electrolytes decreases on dilution.
Reason: On dilution, the number of ions per unit volume decreases.
(a) Both Assertion and Reason are true, and Reason is the correct explanation for Assertion.
(b) Both Assertion and Reason are true, but Reason is not the correct explanation for Assertion.
(c) Assertion is true, but Reason is false.
(d) Assertion is false, but Reason is true.
Answer: The correct answer is (a) Both Assertion and Reason are true, and Reason is the correct explanation for Assertion.
07 30 PM IST - 22 Feb'26
ISC Chemistry Exam 2026: Previous Year's Question (19)
Ques. An equimolar solution of non-volatile solutes A and B, shows a depression in freezing point in the ratio of 2:1. If A remains in its normal state in the solution, the state of B in the solution will be:
(a) normal. (b) hydrolysed. (c) associated. (d) dissociated.
Answer: (c) associated.
07 00 PM IST - 22 Feb'26
ISC Chemistry Exam 2026: Previous Year's Question (18)
Ques. Fill in the blanks by choosing the appropriate word(s) from those given below in the brackets.
[lead poisoning, zero, phosgene, dependent, cancer, independent, diethyl ether, first, ethyl carbonate, ethene]
(i) For a particular reaction, the value of rate constant is 0·05 sec -1 . The reaction is of _______order and will be ______ of the initial concentration.
(ii) EDTA is used in the treatment of ______ while Cisplatin is used in the treatment of ______.
(iii) The addition of small quantity of ethanol to chloroform prevents the formation of ______ and converts it into the harmless compound ______.
(iv) The dehydration of ethyl alcohol with conc. H2SO4 at 140°C mainly yields ______ while at 170°C the main product formed is ______.
Answer:
i) First, independent
ii) lead poisoning, cancer
iii) phosgene, ethyl carbonate
iv) diethyl ether, ethene
06 30 PM IST - 22 Feb'26
ISC Chemistry Exam 2026: Previous Year's Question (17)
Ques. When KMnO4 is heated with acidified oxalic acid, gas bubbles are evolved. These gas bubbles are evolved due to the formation of:
(a) SO2 (b) CO2 (c) SO3 (d) O2
06 00 PM IST - 22 Feb'26
ISC Chemistry Exam 2026: Previous Year's Question (16)
Ques. The reaction of ethanamide with alcoholic sodium hydroxide and bromine gives:
(a) ethylamine. (b) methylamine. (c) propylamine. (d) aniline.
Answer: (b) methylamine.
05 30 PM IST - 22 Feb'26
ISC Chemistry Exam 2026: Previous Year's Question (15)
Ques. The structure of an amino acid exists in the following two forms:

The above structure is an example of ______. If the side chain R is replaced by hydrogen, the amino acid is known as ____.
(ii) Janice notices that her gums bleed while brushing and eating food. Name the water-soluble vitamin that she should consume to prevent bleeding of gums.
(iii) Which linkage holds two units of monosaccharides in a disaccharide?
05 00 PM IST - 22 Feb'26
ISC Chemistry Exam 2026: Previous Year's Question (14)
Ques. Answer the following questions.
(a) Specific conductance of a solution decreases upon dilution. Why?
(b) The emf of a cell should be positive for a spontaneous reaction. Give a reason.
(c) Name the type of cell in which a reaction occurs only in one direction and cannot be reversed by an external energy source. Write any one disadvantage of this type of cell.
04 30 PM IST - 22 Feb'26
ISC Chemistry Exam 2026: Previous Year's Question (13)
Ques. Answer the following questions.
(a) By referring to the electrochemical series, how can anode and cathode half-cells be identified in a galvanic cell?
(b) What is the role of the salt bridge in a galvanic cell?
(c) Write an advantage and a disadvantage of a fuel cell.
04 00 PM IST - 22 Feb'26
ISC Chemistry Exam 2026: Previous Year's Question (12)
Ques. Write chemical equations to illustrate the following name reactions:
(i) Finkelstein reaction
(ii) Williamson's synthesis
(iii) Reimer-Tiemann reaction
03 30 PM IST - 22 Feb'26
ISC Chemistry Exam 2026: Previous Year's Question (11)
Ques. Identify the compounds [A], [B], and [C] in each of the following reactions:

03 00 PM IST - 22 Feb'26
ISC Chemistry Exam 2026: Previous Year's Question (10)
Ques. Write the chemical test to distinguish between each of the following pairs of compounds.
(i) Ethanol and propan-1-al
(ii) Phenol and benzoic acid
02 30 PM IST - 22 Feb'26
ISC Chemistry Exam 2026: Previous Year's Question (9)
Ques. Write chemical equations to convert the following:
a) Benzaldehyde to benzene
b0 Benzoic acid to benzaldehyde
02 00 PM IST - 22 Feb'26
ISC Chemistry Exam 2026: Previous Year's Question (8)
Ques. Identify the compounds [A], [B], [C], and [D] in the following reaction:

Answer:
[A]: Benzene Diazonium Chloride
[B]: Benzonitrile (Phenyl cyanide)
[C]: Benzoic Acid
[D]: m-Nitrobenzoic acid
01 30 PM IST - 22 Feb'26
ISC Chemistry Exam 2026: Previous Year's Question (7)
Ques. While conducting an experiment on coordination compounds, Shirin observed a white precipitate when AgNO3 solution was added to the aqueous solution of the complex [Co(NH3)3(en)SO4]Cl. How can the ionisation isomer of this complex be detected by a chemical test? Write the structure and the IUPAC name of the ionisation isomer.
01 00 PM IST - 22 Feb'26
ISC Chemistry Exam 2026: Previous Year's Question (6)
Write a balanced chemical equation for each of the following:
i. Ethyl cyanide is reduced with LiAlH4
ii. Aniline is treated with bromine water
12 30 PM IST - 22 Feb'26
ISC Chemistry Exam 2026: Previous Year's Question (5)
Calculate the number of coulombs required to electroplate 4.75 g of aluminium when the electrode reaction is Al3++3e------>Al
(Given: Atomic weight of Al = 27 g mol-1, 1 Faraday = 96,500 coulombs)
12 00 PM IST - 22 Feb'26
ISC Chemistry Exam 2026: Previous Year's Question (4)
Ques. Which one of the following does NOT form a silver mirror on heating with Tollen's reagent?
(a) Glucose (b) Fructose (c) Sucrose (d) Lactose
Answer: (c) Sucrose
11 30 AM IST - 22 Feb'26
ISC Chemistry Exam 2026: Previous Year's Question (3)
Ques. Which one of the following alcohols is the strongest acid?
(a) Phenol (b) Methanol (c) Ethanol (d) t-butyl alcohol
Correct Answer: (a) Phenol
11 00 AM IST - 22 Feb'26
ISC Chemistry Exam 2026: Previous Year's Question (2)
Ques. The osmotic pressure of a solution:
(P) increases with an increase in the number of moles of solute.
(Q) decreases with an increase in the number of moles of solute.
(R) increases at a higher temperature.
(S) is dependent on the nature of the solute.
Which one of the following is correct?
(a) Only (P) and (Q) are correct
(b) Only (P) and (R) are correct
(c) Only (P) and (S) are correct
(d) Only (Q) and (S) are correct
Answer: Correct answer is (b) Only (P) and (R) are correct.
10 30 AM IST - 22 Feb'26
ISC Chemistry Exam 2026: Previous Year's Question (1)
Ques. Which one of the following can produce the foul-smelling compound methyl isocyanide in the presence of alcoholic KOH?
(a) Chloroform and aniline
(b) Chloroform and methanol
(c) Chloroform and dimethylamine
(d) Chloroform and methyl amine
Answer: (d) Chloroform and methylamine.
10 00 AM IST - 22 Feb'26
ISC Chemistry Exam 2026: Sample Question 17

The above graph indicates the variation of the molar conductivity of different electrolytes. NaCl, CH3COOH, and KCl are represented as I, II, and III, respectively. The order of increase in molar conductivity with concentration is:
(a) (II), (III), (I)(b) (I), (III), (II)
(c) (III), (II), (I)
(d) (III), (I), (II)
Answer: (b) (I), (III), (II)
09 30 AM IST - 22 Feb'26
ISC Chemistry Exam 2026: Sample Question 16
Ques. How much charge is required for the reduction of 1 mole of Cu+2 to Cu?
(a) 193500C
(b) 193000C
(c) 192500C
(d) 193600C
Answer: (b) 193000 C.
09 00 AM IST - 22 Feb'26
ISC Chemistry Exam 2026: Sample Question 15
Ques. The C-X bond length in haloarenes is shorter due to:
(a) resonance with the benzene ring.
(b) formation of carbocation.
(c) Van der Waals forces.
(d) polarisation of the bond.
Answer: (a) resonance with the benzene ring.
08 30 AM IST - 22 Feb'26
ISC Chemistry Exam 2026: Sample Question 14
Ques. The reaction of the compound A with NH3 gives an aromatic amine B. This amine, on treatment with nitrous acid, forms a diazonium salt which is used in the preparation of A. Identify A and B.
(a) C6H5NH2 and C6H5Cl.
(b) C6H5Cl and C6H5OH.
(c) C6H5CN and C6H5Cl.
(d) C6H5Cl and C6H5NH2
Answer: C6H5Cl and C6H5NH2
08 00 AM IST - 22 Feb'26
ISC Chemistry Exam 2026: Sample Question 13
Ques. Rahul wants to prepare chloroform in the laboratory using ethanol. The correct order of preparation is:
(a) oxidation, liberation of Cl2, hydrolysis, and chlorination.
(b) liberation of Cl2, oxidation, chlorination, and hydrolysis.
(c) hydrolysis, oxidation, chlorination, and liberation of chlorine.
(d) chlorination, hydrolysis, oxidation, and liberation of chlorine.
Answer: (b) liberation of Cl2, oxidation, chlorination, and hydrolysis.
07 30 AM IST - 22 Feb'26
ISC Chemistry Exam 2026: Sample Question 12
Ques. What kind of bond will be formed when glycine and alanine are condensed together?
(a) Zwitterionic bond
(b) Glycosidic bond
(c) Peptide bond
(d) Coordinate bond
Answer: (c) Peptide bond
07 00 AM IST - 22 Feb'26
ISC Chemistry Exam 2026: Sample Question 11
Ques. With which of the following reagent both glucose and fructose produce the same product?
(a) Bromine water
(b) Hydroxylamine
(c) Phenyl hydrazine
(d) Conc. HNO3
Answer: (c) Phenyl hydrazine.
06 00 AM IST - 22 Feb'26
ISC Chemistry Exam 2026: Sample Question 10
Ques. Which of the following combinations is INCORRECT regarding order and molecularity of a hypothetical reaction?
(a) order = 2, molecularity = 1
(b) order = 3/2, molecularity 2
(c) order =1 molecularity =2
(d) order = ½ molecularity = 3/2
Answer: (d) order = 1/2, molecularity = 3/2.
05 00 AM IST - 22 Feb'26
ISC Chemistry Exam 2026: Sample Question 9
Ques. If Sodium nitrate is completely dissociated into cations and anions in aqueous solution, the change in freezing point of water (∆Tf), when 0.05 mol of sodium nitrate is dissolved in 1 kg of water, is: (Kf = 1.86 K kg mol-1 )
(a) 0.1860
(b) 1.860
(c) 0.0186
(d) 0.279
The correct answer is (a) 0.1860.
04 00 AM IST - 22 Feb'26
ISC Chemistry Exam 2026: Sample Question 8
Ques. When the molality of the dilute solution is multiplied by four, what will be the resulting effect on the molal depression constant (Kf)?
(a) Four times
(b) Unchanged
(c) Halved
(d) Eight times
Answer: (b) Unchanged.
03 00 AM IST - 22 Feb'26
ISC Chemistry Exam 2026: Sample Question 7
Ques. Depression in freezing point is a colligative property. At the same concentration in aqueous solution, select the solution that will show the largest freezing point depression.
(a) Na3PO4
(b) C12H22O11
(c) NaCl
(d) K2SO4
Answer: (a) Na3PO4
02 00 AM IST - 22 Feb'26
ISC Chemistry Exam 2026: Sample Question 6
Which of the following is most basic?
(a) Aniline
(b) Ethylamine
(c) Ammonia
(d) Benzylamine
Answer: (b) Ethylamine
01 00 AM IST - 22 Feb'26
ISC Chemistry Exam 2026: Sample Question 5
Ques. Secondary amines can be prepared by reduction. Identify the compound that will form a secondary amine on reaction with LiAlH4?
(a) Methyl cyanide
(b) Methyl isocyanide
(c) Acetamide
(d) Nitroethane
Answer: (b) Methyl isocyanide
12 00 AM IST - 22 Feb'26
ISC Chemistry Exam 2026: Sample Question 4
Ques. An element [X] has an outer electronic configuration as 3d5 4s2. The maximum oxidation state and most common oxidising state of the element will be:
(a) +5, +3
(b) +2, +2
(c) +7, +3
(d) +7, +2
Answer: (d) +7, +2
11 00 PM IST - 21 Feb'26
ISC Chemistry Exam 2026: Sample Question 3
For the reaction:

What are X and R, respectively, in the given reaction?
(a) X: Acetaldehyde R: methyl
(b) X: Formaldehyde R: methyl
(c) X: Acetaldehyde R: ethyl
(d) X: Formaldehyde R: ethyl
Answer: (b) X: Formaldehyde; R: methyl
10 30 PM IST - 21 Feb'26
ISC Chemistry Exam 2026: Sample Question 2
Ques. The correct order of acidic strength among the following organic compounds is:

(a) Z > X > Y
(b) Y > X > Z
(c) Z> Y > X
(d) X > Z > Y
Answer. The correct answer is (a) Z > X > Y.
10 00 PM IST - 21 Feb'26
ISC Chemistry Exam 2026: Sample Question 1
Ques. Which of the following reactions will NOT form an ether through Williamson's synthesis?
I: C2H5ONa + CH3Br →
II: C6H5Cl + C2H5ONa→
III: C6H5ONa + CH3I →
IV: C2H5ONa + (CH3)3C—Br →
(a) I and III
(b) II and III
(c) III and IV
(d) II and IV
Answer: (d) II and IV.
09 30 PM IST - 21 Feb'26
What are the Important formulas from Inorganic Chemistry?

Where n is the number of unpaired electrons.
08 20 PM IST - 21 Feb'26
What are the Important formulas from Solutions?

08 00 PM IST - 21 Feb'26
What are the importance of Solving Mock Tests before Appearing for ISC Chemistry Exam 2026?
- Learning regarding the selection of questions and mental outlining
- Perfect time management
- Identify the weak areas and work on them
- Refine the answer presentation
07 40 PM IST - 21 Feb'26
ISC Chemistry 2026 Exam: Final Revision Checklist
- Formula Sheet: Candidates should read all the formulas again high weightage topics such as Solutions, Electrochemistry, and Kinetics
- IUPAC Rules: Keep checking the Coordination Compound Naming
- Name Reaction Chart: For one last time, check Revise Aldol, Cannizzaro, and Reimer-Tiemann
- VBT & CFT: Practice the drawing of d-orbital splitting for Octahedral complexes
07 20 PM IST - 21 Feb'26
What are the Big-Three High Yield Focus for ISC Chemistry 2026 Exam?
Branches Details Physical (Numericals) - Nernst Equation & Kohlrausch's Law
- First-Order Kinetics
Inorganic (Reasoning) - Lanthanoid Contraction
- Color & Magnetism
Organic (Mechanisms & Tests) - Acid-catalyzed dehydration of alcohols
- Ethanol vs Phenol
07 00 PM IST - 21 Feb'26
ISC Chemistry Past Three Years' Exam Analysis and Expected Difficulty Level Assumption
Years Difficulty Level of Exam 2025 Moderate 2024 Moderate to tough 2023 Moderate Based on the above analysis, it is assumed that the expected difficulty level for ISC 12th Chemistry 2026 exam will likely be moderate.
06 40 PM IST - 21 Feb'26
You said What are the scoring topics from ISC Chemistry exam 2026?
Candidates should prioritize the four chapters, such as Biomolecules, Coordination Compounds, Chemical Kinetics, and Organic Chemical Tests, to score high. Solving these four chapters is helpful to secure 20 to 25 marks.
06 20 PM IST - 21 Feb'26
Was there any out of syllabus questions asked in last year's ISC 12th Chemistry exam?
Based on the teachers' and students feeback, there were no instances of asking out-of-syllabus questions in the ISC Chemistry 2025 exam. Following the CISCE curriculum, the question paper was set, and the same was considered as the overall paper was fair and balanced.
06 00 PM IST - 21 Feb'26
ISC 12th Chemistry Exam Analysis of Last Year
Particulars Details Overall difficulty level Moderate. The overall paper was fair and balanced. Section A Easy to moderate, Most of the questions were directly asked Sections B and C Moderate, major focus was on Chemical Tests, Name Reactions, and Small numbers. Section D Moderate and time-consuming. Major numericals were asked from Physical Chemistry 05 40 PM IST - 21 Feb'26
What are the Common Pitfalls to Avoid during ISC Chemistry 2026 Exam Last Minute Preparation?
- Candidates should not waste much time revising the chapters like Biomolecules and Polymers. A quick one-hour read is more than enough to secure 6 to 8 easy questions.
- Make sure that the candidates are not stucking to solve one complex numerical for 20 minutes. If the calculations seem tough or messy, then they should move on to the next question.
- Do not provide any vague or generic reason for answering the "Give Reasons" questions. Instead, try to use a specific electronic or structural reason.
05 20 PM IST - 21 Feb'26
What are the priority topics from Inorganic Chemistry for ISC 12th exam 2026?
Name of the Chapters Important Topics d & f Block - Lanthanoid Contraction
Coordination Compounds - IUPAC naming
- Valence Bond Theory (VBT)
05 00 PM IST - 21 Feb'26
What are the priority topics from Physical Chemistry for ISC 12th exam 2026?
Name of the Chapters Important Topics Electrochemistry - Nernst Equation and its applications
- Molar Conductivity and Faraday’s Laws
Chemical Kinetics - First-order reaction numericals
- Arrhenius Equation
Solutions - Raoult's Law
- Colligative Properties (specifically Elevation in Boiling Point and Osmotic Pressure)
04 40 PM IST - 21 Feb'26
What are the priority topics from Organic Chemistry for ISC 12th exam 2026?
- Name Reactions: Aldol Condensation, Cannizzaro, Reimer-Tiemann, Rosenmund Reduction, and Hoffmann Bromamide Degradation
- Conversions: Practice the "Roadmap" questions as much as possible, and your focus should also be on increasing/ decreasing the carbon chain lengths
- Prioritize the Functional Groups: Tollens’/Fehling's (Aldehydes), Lodoform (Methyl ketones), and Carbylamine (Primary amines).
04 20 PM IST - 21 Feb'26
Quick Revision Checklist in Golden Hour
Branches Revision Checklist Organic Chemistry SN1 vs SN2 mechanisms and name reactions Physical Chemistry Nernst Equation and Integrated Rate Laws for numericals Inorganic Chemistry IUPAC naming for coordination compounds and the properties of KMnO₄/K₂Cr₂O₇ 04 00 PM IST - 21 Feb'26
What is the Branch-Wise Marks Distribution?
Branch Weightage Organic Chemistry 31 marks Physical Chemistry 25 marks Inorganic Chemistry 14 marks













