TG Inter 1st Year Maths 1A Answer Key (OUT) Live Updates: Students review paper as Tough; Detailed Paper AnalysisTG Inter 1st Year Maths 1A Exam 2026 has been held today, March 02, 2026, from 9 AM to 12 PM. Through this live blog, a detailed question paper analysis, along with unofficial answer key solutions and difficulty level review by students, shall be provided here post 12 PM. The answer key for 2-mark questions shall be provided here, subject to the availability of the question paper. The upcoming exam for the TG Inter 1st year students is Maths 1B that is scheduled to be conducted on March 5.
| Link to Submit Student Reviews |
|---|
| Click Here to Submit Your Review on 1st Year Botany |
TG Inter 1st Year Maths 1A Answer Key 2026
| Question Number | Question | Step-by-Step Process | Correct Answer |
|---|---|---|---|
| Section A - 1 | f(x)=cosx; A={0,π/6,π/4,π/3,π/2} | f(0)=1,f(π/6)=3/2,f(π/4)=1/2,f(π/3)=1/2,f(π/2)=0 | B={1,3/2,1/2,1/2,0} |
| Section A - 2 | f(x)=x2−25 | For real values: x2−25≥0⇒(x−5)(x+5)≥0. True if x≤−5 or x≥5. | (−∞,−5]∪[5,∞) |
| Section A - 3 | Additive Inverse of A | Multiply every element of matrix A by −1. | −i010i−1−1−2−5 |
| Section A - 4 | Skew-Symmetric Matrix | Property: aij=−aji. Here a32=−a23. So x=−(−2). | x=2 |
| Section A - 5 | Unit Vector a^=a/∣a∣ | ∣a∣=22+32+12=14. Divide components by 14. | 141(2i+3j+k) |
| Section A - 6 | Vector equation of line through 2i+3j+k parallel to 4i−2j+3k. | Formula: r=a+tb. Here a=2i+3j+k and b=4i−2j+3k. | r=(2i+3j+k)+t(4i−2j+3k) |
| Section A - 7 | Find value of sin330∘cos120∘+cos210∘sin300∘. | sin(360−30)cos(180−60)+cos(180+30)sin(360−60)=(−1/2)(−1/2)+(−3/2)(−3/2)=1/4+3/4. | 1 |
| Section A - 9 | Find range of 7cosx−24sinx+5. | Range of acosx+bsinx+c is [c−a2+b2,c+a2+b2]. Here 72+242=25. Range =[5−25,5+25]. | [−20,30] |
| Section A - 10 | Prove cosh4x−sinh4x=cosh(2x). | (cosh2x−sinh2x)(cosh2x+sinh2x). Since cosh2x−sinh2x=1, it becomes 1×cosh(2x). |
Section B - Question Number 11 to 17
| Question Summary | Step-by-Step Solution | Final Answer |
|---|---|---|
| If x−1012z−105−y7a−5=101240370 | Equate elements: x−1=1⇒x=2; 5−y=3⇒y=2; z−1=4⇒z=5; a−5=0⇒a=5. | x=2,y=2,z=5,a=5 |
| Points A, B, C, D given. Find AC,DA,BA,BC. | AC=c−a=a−(a+2b)=−2b; DA=a−d=(a+2b)−(3a+b)=−2a+b. Repeat for others. | AC=−2b,DA=−2a+b, etc. |
| If a+b+c=0, prove a×b=b×c=c×a. | a+b=−c. Take cross product with a: a×a+a×b=−a×c⇒a×b=c×a. Repeat for b. | Proved |
| If A+B=π/4, prove (1+tanA)(1+tanB)=2. | tan(A+B)=tan(π/4)=1. Use formula 1−tanAtanBtanA+tanB=1. Cross multiply and add 1 to both sides. | Proved |
| General solution of sin2θ−cosθ=1/4. | 1−cos2θ−cosθ=1/4⇒4cos2θ+4cosθ−3=0. Solve quadratic: cosθ=1/2 or −3/2 (neglect). | θ=2nπ±π/3 |
| Prove tan−121+tan−151+tan−181=π/4. | Use tan−1x+tan−1y formula twice. First: tan−11−1/101/2+1/5=tan−197. Then: tan−11−7/727/9+1/8=tan−1(1). | Proved |
| In ΔABC, if a=13,b=14,c=15, find r. | s=(13+14+15)/2=21. Area Δ=21(8)(7)(6)=84. r=Δ/s=84/21. | r=4 |
TG Inter 1st Year Maths 1A student Reviews 2026
- Madhu from Warangal shared that the paper was 'moderately tough', and the long answer-type questions seemed hard
- Rajesh from Warangal shared that the paper was 'Tough' for him and time consuming
- Deekshitha from Hyderabad shared that the paper was 'Tough' and she faced difficulty in completing all questions in 3 hours
TG Inter 1st Year Maths 1A Exam 2026 Quick Facts
Some of the details and facts related to TG Inter 1st Year Maths 1A Exam 2026 can be found below:
Aspect | Details |
|---|---|
Exam Date | March 02, 2026 |
Exam Time | 9 AM to 12 PM |
Sections | Sections A, B, & C |
Questions and Marking Scheme |
|
Max Marks | 75 Marks |
Keep checking this live thread below to stay updated with the latest happenings of TG Inter 1st year Maths 1A exam.
TG Inter 1st Year Maths 1A Exam 2026 LIVE
12 45 PM IST - 02 Mar'26
Students from Warangal Share Review on Difficulty Level
5 students have shared their review on Maths 1A difficulty level. Out of 5 students, 4 students rated the paper as 'Tough' with long-answer type questions seeming to be tough.
12 26 PM IST - 02 Mar'26
Initial Reviews indicate 'Tough' Paper
We received 3 reviews so far, and 2 students rated the paper seemed 'Tough', and the long answer questions seemed hard.
12 01 PM IST - 02 Mar'26
TG Inter 1st Year Maths 1A Exam Concludes
1st Year Maths 1A exam has concluded just now. Students will be coming out of the exam hall shortly.
11 07 AM IST - 02 Mar'26
Exam ends in an Hour; Student reviews to be collected
The 1st year Botany exam will end in an hour. Students will come out of the exam hall by 12:10 PM. Reviews to be collecetd from students through Google form link available on this page.
10 04 AM IST - 02 Mar'26
Exam underway; No paper leak cases
The exam is happening in all districts smoothly. There have been no cases on paper leak in any location.
09 00 AM IST - 02 Mar'26
TG Inter 1st Year Maths 1A Exam 2026 Exam Begins Now
It’s 9:00 AM, and the Maths 1A exam begins now. All the very best to every student writing the exam today. You’ve got this!
08 00 AM IST - 02 Mar'26
Students Reaching Exam Centres
Students are steadily arriving at exam centres. Entry procedures may take some time, so cooperate with the staff and follow instructions carefully. Find your classroom, settle down comfortably, and take a few deep breaths.
07 00 AM IST - 02 Mar'26
Students Leaving for Exam Centres
Many students are now stepping out of their homes and heading towards their respective exam centres.
06 00 AM IST - 02 Mar'26
Early Travel & Traffic Alert
Students who have exam centres far from home are advised to start early. Morning traffic may gradually increase, especially near the exam centres. Reaching early will give you enough time to relax before entering the exam hall.
05 00 AM IST - 02 Mar'26
Good Morning! Exam Day Is Here
Good morning, students! The TG Inter 1st Year Maths 1A exam day is today. It starts at 9 AM. Stay calm and start your day with confidence. Have a light breakfast, get ready on time, and quickly revise key formulas if needed. Also, reach 30-40 minutes before the exam timings.
04 00 AM IST - 02 Mar'26
Exam Day Essentials Checklist
- Hall ticket
- Required stationery (pens, pencils, geometry tools)
- Transparent water bottle (if allowed)
03 00 AM IST - 02 Mar'26
Prohibited Items in the Exam Hall
Students, please be very careful about what you carry tomorrow.
Do NOT carry:
- Mobile phones
- Smart watches
- Earbuds / Bluetooth devices
- Calculators (unless specifically allowed)
- Written chits or papers
- Study material or notebooks
- Any electronic gadgets
Even if switched off, electronic devices are strictly prohibited.
02 00 AM IST - 02 Mar'26
Sleep Well Tonight
Tonight is not about studying for hours. It is about keeping your mind relaxed and clear. Light revision of formulas is fine, but avoid starting new topics or solving very tough problems late at night.
A well-rested brain calculates faster, thinks clearly, and reduces silly mistakes. Try to get proper sleep so you walk into the exam hall feeling confident and focused.
You’ve prepared for this. Now trust yourself and stay calm.
01 00 AM IST - 02 Mar'26
Hall Ticket Reminder - Don’t Forget This!
As the TG Inter 1st Year Maths 1A exam is only a few hours away, make sure your hall ticket is printed and kept safely in your bag tonight. Double-check your name, photograph, subject, exam centre, and reporting time. It’s always better to keep an extra printout to avoid last-minute panic.
12 00 AM IST - 02 Mar'26
What not to do today?
Don’t stay up too late solving full-length papers. Don’t compare your preparation with friends - it only adds unnecessary stress. Avoid scrolling endlessly or discussing “expected questions” from unreliable sources.
11 30 PM IST - 01 Mar'26
“Properties of Triangles” Chapter Mega Practice - Part 4
Question 9
Prove that in any triangle:
a cosA + b cosB + c cosC = a + b + c − 4R sin(A/2) sin(B/2) sin(C/2)Question 10
In triangle ABC, prove that:
sinA + sinB + sinC ≤ 3√3 / 2
and find when equality holds.
11 15 PM IST - 01 Mar'26
“Properties of Triangles” Chapter Mega Practice - Part 3
Question 7
Question 8
In a triangle, a = 6 cm, b = 8 cm, c = 10 cm.
Find the radius of the circumcircle.
The sides of a triangle are 9 cm, 10 cm and 17 cm.
Find the inradius of the triangle.11 00 PM IST - 01 Mar'26
“Properties of Triangles” Chapter Mega Practice - Part 2
Question 4
Find the area of a triangle with sides 13 cm, 14 cm and 15 cm using Heron’s Formula.Question 5
In a triangle, two sides are 10 cm and 12 cm and the included angle is 30°.
Find the area of the triangle.Question 6
The area of a triangle is 60 cm².
Two sides are 13 cm and 10 cm.
Find the angle between them.10 30 PM IST - 01 Mar'26
“Properties of Triangles” Chapter Mega Practice - Part 1
Question 1
In a triangle ABC, a = 7 cm, b = 9 cm and angle C = 60°.
Find side c using Cosine Rule.Question 2
In triangle ABC, A = 45°, B = 60° and side a = 8 cm.
Find side b using Sine Rule.Question 3
The sides of a triangle are 5 cm, 6 cm and 7 cm.
Find the largest angle of the triangle.10 15 PM IST - 01 Mar'26
Important Formulas for “Properties of Triangles” - Part 3
1. Sum of Angles of Triangle
A + B + C = 180°
2. Important Trigonometric Identity in Triangle
sinA + sinB + sinC ≤ 3√3 / 2
(Maximum when triangle is equilateral.)
3. Half-Angle Formulas in Triangle
sin(A/2) = √[(s − b)(s − c) / bc]
cos(A/2) = √[s(s − a) / bc]
tan(A/2) = √[(s − b)(s − c) / s(s − a)]4. Relation Between Inradius and Circumradius
r = 4R sin(A/2) sin(B/2) sin(C/2)
10 00 PM IST - 01 Mar'26
Important Formulas for “Properties of Triangles” - Part 2
1. Area Using Two Sides and Included Angle
Area = (1/2) bc sinA
Area = (1/2) ca sinB
Area = (1/2) ab sinC2. Heron’s Formula
Let s = (a + b + c) / 2
Area = √[s(s − a)(s − b)(s − c)]
3. Area in Terms of Inradius (r)
Area = r s
where r = inradius
s = semi-perimeter4. Area in Terms of Circumradius (R)
Area = abc / 4R
5. Relation Between Sides and Circumradius
a = 2R sinA
b = 2R sinB
c = 2R sinC09 45 PM IST - 01 Mar'26
Important Formulas for “Properties of Triangles” - Part 1
Let a, b, c be the sides opposite to angles A, B, C, respectively.
1. Sine Rule (Law of Sines)
a / sinA = b / sinB = c / sinC = 2R
where R = radius of circumcircle.
2. Cosine Rule (Law of Cosines)
a² = b² + c² − 2bc cosA
b² = c² + a² − 2ca cosB
c² = a² + b² − 2ab cosC3. Important Forms from Cosine Rule
cosA = (b² + c² − a²) / 2bc
cosB = (c² + a² − b²) / 2ca
cosC = (a² + b² − c²) / 2ab4. Projection Formula
a = b cosC + c cosB
b = c cosA + a cosC
c = a cosB + b cosA
09 30 PM IST - 01 Mar'26
Expert Tips for Scoring Good Marks in TG Inter 1st Year Maths 1A
- Even if you think you’ve messed up a calculation, never strike it out until you’ve rewritten the correct version. Marks are awarded for steps like writing the formula or substituting values.
- For Vector Algebra or Trigonometry, draw a neat triangle or vector diagram. It makes your paper look professional and helps you visualise the solution.
- Highlight your final answer and the main formula used in a box. It makes the examiner’s job easier, which usually works in your favour.
- If a Matrix determinant isn't coming out to be a clean number, leave a page and move on. Come back to it at the end; often, a fresh look catches a simple sign error.
09 15 PM IST - 01 Mar'26
Topper’s Strategy for the Maths Exam Tomorrow
Toppers don't solve the paper linearly from Q1 to Q24. They use a tactical approach:
- Round 1:The "Sure Shots" (Section C - 7 Marks): * Start with Section C. Solve the Matrices (Cramer/Inversion) and Addition of Vectors long questions first. These are questions where the steps are predictable. Aim to finish 5 LAQs in the first 75-80 minutes.
- Round 2: Pick the easiest 5 questions. Usually, Vector Algebra and Trigonometry SAQs are straightforward. Spend no more than 10 minutes per question.
- Round 3: Since Section A questions are very short, do them last. If you are running out of time, writing the formula alone can still get you 1 mark.
09 00 PM IST - 01 Mar'26
“Trigonometry” Chapter Mega Practice - Part 4
Question 9
The angle of elevation of the top of a tower from a point on the ground is 30°.
After moving 20 m closer, the angle becomes 60°.
Find the height of the tower.Question 10
If sinθ − cosθ = 1, find the value of sinθ cosθ.Question 11
Prove that:
(sin4θ) / (sinθ) = 4 cosθ cos2θQuestion 12
If tanA + tanB + tanC = tanA tanB tanC,
prove that A + B + C = π.Question 13
Prove that:
(1 + tanA tanB + tanB tanC + tanC tanA)
= secA secB secC cos(A + B + C)08 45 PM IST - 01 Mar'26
“Trigonometry” Chapter Mega Practice - Part 3
Question 7
In a triangle ABC, prove that:
a / sinA = b / sinB = c / sinC(State the law used and derive it.)
Question 8
If cosθ + cos3θ = 2 cos2θ cosθ, verify the identity.
08 30 PM IST - 01 Mar'26
“Trigonometry” Chapter Mega Practice - Part 2
Question 4
Solve the equation:
2 sin²x − 3 sinx + 1 = 0
for 0 ≤ x ≤ 2πQuestion 5
Solve:
tanx + secx = 1
for 0 ≤ x ≤ 2πQuestion 6
Find all solutions of:
sin2x = √3 / 2
in the interval 0 ≤ x ≤ 2π
08 15 PM IST - 01 Mar'26
“Trigonometry” Chapter Mega Practice - Part 1
Question 1
Prove that:
(sinθ + cosθ)² + (sinθ − cosθ)² = 2Question 2
Prove that:
(1 − tan²θ) / (1 + tan²θ) = cos2θQuestion 3
If sinθ + cosθ = √2 cosθ, find the value of tanθ.08 00 PM IST - 01 Mar'26
“Vectors” Chapter Mega Practice - Part 3
- If a̅, b̅, c̅ are the position vectors of the vertices A, B and C respectively of a ΔABC, then find the vector equation of the median through the vertex A.
- Find the vector equation of the line joining the points 2i̅ + j̅ + 3k̅ and – 4i̅ + 3j̅ – k̅.
- Find the vector equation of the plane passing through the points i̅ – 2j̅ + 5k̅, – 5j̅ – k̅ and -3 i̅ + 5j̅.
07 45 PM IST - 01 Mar'26
“Vectors” Chapter Mega Practice - Part 2
- If the vectors 2i̅ + λ j̅ – k̅ and 4i̅ – 2j̅+ 2k̅ are perpendicular to each other then find λ.
- Find the vector equation of the line passing through the point 2i̅ + 3j̅ + k̅ and parallel to the vector 4i̅ – 2j̅ + 3k̅.
- If a, b, c are noncoplanar find the point of intersection of the line passing through the points 2a̅ + 3b̅ – c̅, 3a̅ + 4b̅ – 2c̅ with the line joining points a̅ – 2b̅ + 3c̅, a̅ – 6b̅ + 6c̅.
07 30 PM IST - 01 Mar'26
“Vectors” Chapter Mega Practice - Part 1
Now that you are aware of the important formulas of Vectors and how to approach related questions, it’s time to start practicing new questions. Start Now!
- Find the angle between the vectors i̅ + 2j̅ + 3k̅ and 3i̅ – j̅ + 2k̅.
- ABCD is a trapezium in which AB and CD are parallel. Prove by vector methods that the mid points of the sides AB, CD and the intersection of the diagonals are collinear.
07 15 PM IST - 01 Mar'26
Solved Questions for “Vectors” Chapter - Part 6
Check one more solved Vectors question below:

07 00 PM IST - 01 Mar'26
Solved Questions for “Vectors” Chapter - Part 5
Some solved questions from the Vectors chapter are given below:

06 45 PM IST - 01 Mar'26
Solved Questions for “Vectors” Chapter - Part 4
If a̅ + b̅ + c̅ = αd̅, b̅ + c̅ + d̅ = βa̅ and a̅, b̅, c̅ are non-coplanar vectors, then show that a̅ + b̅ + c̅ + d̅ = 0̅.
Answer:
Given a̅ + b̅ + c̅ = αd̅ ……………. (1)
b̅ + c̅ + d̅ = βa̅ …………….. (2)
From (2), d̅ = pa̅ – b̅ – c̅
From (1), a̅ + b̅ + c̅ = a, (pa̅ – b̅ – c̅)
⇒ (1 – αβ)a̅ + (1 + a)b̅ + (1 + a)c̅ = 0
∴ a̅, b̅, c̅ are non coplanar vectors
1 – αβ = 0 ⇒ αβ = 1 and
1 + α = 0 ⇒ α = -l β = -1
Hence from (1); a̅ + b̅ + c̅ = -d̅
⇒ a̅ + b̅ + c̅ + d̅ = 006 30 PM IST - 01 Mar'26
Solved Questions for “Vectors” Chapter - Part 3
If OA¯=i¯+j¯+k; AB=3i¯−2j¯+k, BC=i¯+2j¯−2k and CD=2i¯+j¯+3k then find the vector OD¯.
Answer: Since OA¯+AB+BC+CD=OD¯ ⇒ OD¯ = (i̅ + j̅ + k̅) + (3i̅ – 2j̅ + k̅) + (i̅ + 2 j̅ – 2k̅) + (2 i̅ + j̅ + 3k̅) = 7i̅ + 2j̅ + 3k̅
06 15 PM IST - 01 Mar'26
Vector (Cross) Product of Vectors
Let a and b be two vectors.
1. Definition
a × b = |a||b| sinθ n
where
θ = angle between vectors
n = unit vector perpendicular to both a and b2. Determinant Form
If
a = a1i + a2j + a3k
b = b1i + b2j + b3kThen:
a × b =
| i j k |
| a1 a2 a3 |
| b1 b2 b3 |3. Magnitude of Cross Product
|a × b| = |a||b| sinθ
4. Special Results
• a × b = − (b × a)
• a × a = 0
• If a × b = 0, then vectors are parallel5. Area Formulas
Area of parallelogram = |a × b|
Area of triangle = (1/2) |a × b|
06 00 PM IST - 01 Mar'26
Scalar (Dot) Product of Vectors
Let a and b be two vectors.
1. Definition
a · b = |a||b| cosθ
where θ is the angle between them.
2. In Component Form
If
a = (a1, a2, a3)
b = (b1, b2, b3)Then:
a · b = a1b1 + a2b2 + a3b3
3. Special Results
• a · a = |a|²
• If a · b = 0, then vectors are perpendicular
• cosθ = (a · b) / (|a||b|)4. Properties
• a · b = b · a
• a · (b + c) = a · b + a · c05 45 PM IST - 01 Mar'26
Important Formulas for “Vectors” - Part 2
Let
a = (a1, a2, a3)
b = (b1, b2, b3)1. Addition of Vectors
a + b = (a1 + b1, a2 + b2, a3 + b3)
2. Subtraction of Vectors
a − b = (a1 − b1, a2 − b2, a3 − b3)
3. Scalar Multiplication
If k is a real number:
k a = (k a1, k a2, k a3)
05 30 PM IST - 01 Mar'26
Important Formulas for “Vectors” - Part 1
Definition of a Vector
A vector is a quantity that has both magnitude and direction.
If a = (a1, a2, a3), then
Magnitude of a = |a| = √(a1² + a2² + a3²)Position Vector
If point P has coordinates (x, y, z),
then position vector of P is:OP = xi + yj + zk
04 00 PM IST - 01 Mar'26
“Matrices” Chapter Sample Questions to Solve
Now that you are aware of the important formulas of Matrices and how to approach related questions, it’s time to start practicing new questions. Start Now!
03 45 PM IST - 01 Mar'26
Solved Questions for “Matrices” Chapter - Part 6
Check one more solved Matrices question below:

03 15 PM IST - 01 Mar'26
Solved Questions for “Matrices” Chapter - Part 4
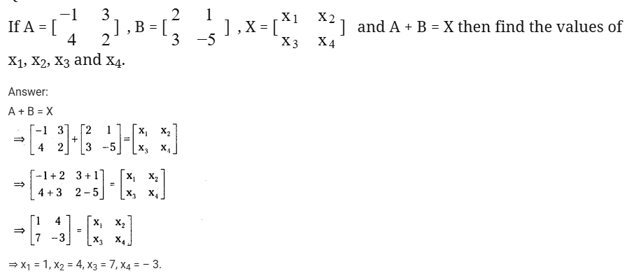
Below is another solved question from the Matrices chapter:

03 00 PM IST - 01 Mar'26
Solved Questions for “Matrices” Chapter - Part 3
Check out another solved question from the Matrices chapter:

02 45 PM IST - 01 Mar'26
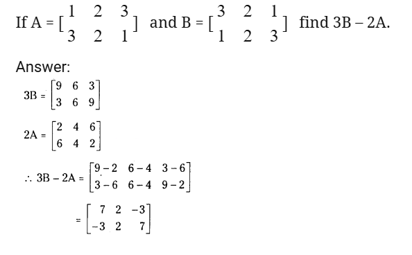
Solved Questions for “Matrices” Chapter - Part 2
Check out a solved question from the Matrices chapter:

02 30 PM IST - 01 Mar'26
Solved Questions for “Matrices” Chapter - Part 1
Write the following as a single matrix.
(i) [2 1 3] + [0 0 0]
Answer:
[2 1 3] + [0 0 0] = [2 + 0 1 + 0 3 + 0]
= [2 1 3]
02 15 PM IST - 01 Mar'26
Important Formulas for “Matrices” - Part 5
1. If A is a square matrix, then:
A² = A × A
A³ = A × A × A2. If A is Identity Matrix I, then:
I² = I
Iⁿ = I3. Zero Matrix Properties
A + O = A
AO = O
OA = O(O = Zero matrix)
02 00 PM IST - 01 Mar'26
Important Formulas for “Matrices” - Part 4
Transpose of a Matrix
1. Definition
Transpose of A is denoted by Aᵀ.
If A = [aᵢⱼ], then Aᵀ = [aⱼᵢ]
(Rows become columns)
2. Properties of Transpose
• (Aᵀ)ᵀ = A
• (A + B)ᵀ = Aᵀ + Bᵀ
• (kA)ᵀ = kAᵀ
• (AB)ᵀ = BᵀAᵀ3. Symmetric Matrix
A matrix A is symmetric if:
Aᵀ = A
4. Skew-Symmetric Matrix
A matrix A is skew-symmetric if:
Aᵀ = −A
01 45 PM IST - 01 Mar'26
Important Formulas for “Matrices” - Part 3
1. Condition for Multiplication
If A is of order m × n
and B is of order n × pThen AB is defined and order is m × p.
(Number of columns of A = Number of rows of B)
2. Formula for Multiplication
If AB = C, then:
cᵢⱼ = aᵢ₁b₁ⱼ + aᵢ₂b₂ⱼ + … + aᵢₙbₙⱼ
01 30 PM IST - 01 Mar'26
Important Formulas for “Matrices” - Part 2
Important Properties
- A + B = B + A (Commutative)
- (A + B) + C = A + (B + C) (Associative)
- k(A + B) = kA + kB
- (k + l)A = kA + lA
01 15 PM IST - 01 Mar'26
Important Formulas for “Matrices” - Part 1
Let A = [aᵢⱼ] and B = [bᵢⱼ] of same order.
1. Addition
A + B = [aᵢⱼ + bᵢⱼ]
Condition: Order must be same.
2. Subtraction
A − B = [aᵢⱼ − bᵢⱼ]
3. Scalar Multiplication
If k is a real number:
kA = [k aᵢⱼ]
01 00 PM IST - 01 Mar'26
“Mathematical Induction” Chapter Mega Practice 4
2 + 7 + 12 + ………. + (5n – 3) = n(5n−1)/2
12 45 PM IST - 01 Mar'26
“Mathematical Induction” Chapter Mega Practice 3
a + (a + d) + (a + 2d) + ……………… upto n terms = n/2 [2a + (n – 1) d]
12 30 PM IST - 01 Mar'26
“Mathematical Induction” Chapter Mega Practice 2
Solve the question below:

12 15 PM IST - 01 Mar'26
“Mathematical Induction” Chapter Mega Practice 1
1.2.3 + 2.3.4 + 3.4.5 + ……………. upto n terms = n(n+1)(n+2)(n+3)/4.
12 00 PM IST - 01 Mar'26
“Mathematical Induction” Chapter Sample Questions to Solve
Now that you are aware of the important formulas of Mathematical Induction and how to approach related questions, it’s time to start practicing new questions. Start Now!
11 45 AM IST - 01 Mar'26
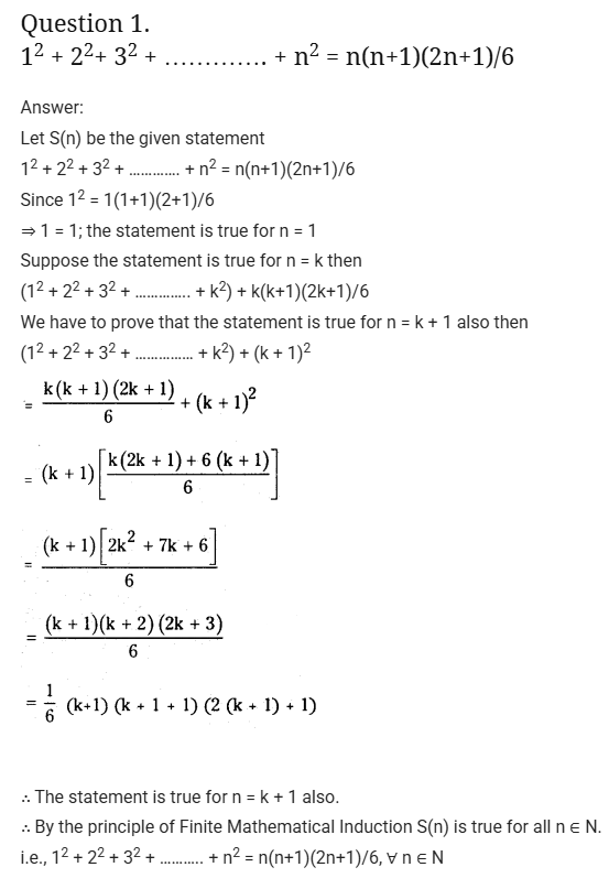
Solved Questions for “Mathematical Induction” Chapter - Part 6
4n – 3n – 1 is divisible by 9
Answer:
Let S(n) be the statement,
4n – 3n – 1 is divisible by 9
For n = 1, 4 – 3 – 1 = 0 is divisible by 9
∴ Statement S(n) is true for n = 1.
Suppose the statement S(n) is true for n = k
Then 4k – 3k – 1 is divisible by 9.
∴ 4k – 3k – 1 = 9t for t ∈ N ……………. (1)
We have to show that statement is true for n = k + 1 also.
From (1), 4k = 9t + 3k + 1
∴ 4k + 1 – 3 (k + 1) – 1 = 4 . 4k – 3 (k + 1) – 1
= 4 (9t + 3k + 1) – 3k – 3 – 1
= 4 (9t) + 9k
= 9 (4t + k) divisible by 9
(∵ 4t + k is an integer)
Hence, S(n) is true for n = k + 1 also.
∴ 4k + 1 – 3 (k + 1) – 1 is divisible by 9
∴ The statement is true for n = k + 1
∴ By the principle of Mathematical Induction.
S(n) is true for all n e K
∴ 4n – 3n – 1 is divisible by 911 30 AM IST - 01 Mar'26
Solved Questions for “Mathematical Induction” Chapter - Part 5
12 + 22 + ……………. + n2 > n3/3
Answer:
Let S(n) be the statement
When n = 1, then 1 > 1/3
∴ S(n) is true for n = 1
Assume S(n) to be true for n = k then
12 + 22 + ……………. + k2 > k3/3
We have to prove that the result is true for n = k + 1 also.
∴ S(n) is true for n = k + 1 also
∴ By principle of Mathematical Induction.
S(n) is true ∀ n ∈ N
11 15 AM IST - 01 Mar'26
Solved Questions for “Mathematical Induction” Chapter - Part 4
(2n + 1) < (n + 3)2
Answer:
Let S(n) be the statement
When n = 1, then 9 < 16 ∴ S(n) is true for n = 1 Suppose S(n) is true for n = k then(2k + 7) < (k + 3)2 …………….. (1)
We have to prove that the result is true for n = k + 1
i.e., 2(k + 1) + 7 < (k + 4)2
∴ 2 (k + 1) + 7 = 2k + 2 + 7 = (2k + 7) + 2 < (k + 3)2 + 2 (From (1))
= k2 + 6k + 9 + 2
= k2 + 6k + 11 < (k2 + 6k + 11) + (2k + 5)
= k2 + 8k + 16
= (k + 4)2
∴ S(n) is true for n = k + 1 also
By principle of Mathematical Induction
S(n) is true ∀ n ∈ N
11 00 AM IST - 01 Mar'26
Solved Questions for “Mathematical Induction” Chapter - Part 3

Answer:
Let Sn be the statement
∴ S(n) is true for n = 1
Suppose Sn is true for n = k then
(1 + 3/1)(1 + 5/4)(1 + 7/9)……(1 + 2k+1/k2)
= (k + 1)2 ………………. (1)
We have to prove that the statement is true for n = k + 1 also
(k + 1) th term is
= k2 + 4k + 4
= (k + 2)2
∴ S(n) is true for n = k + 1 also
∴ By the principal of Mathematical Induction S(n) is true for ∀ n ∈ N
10 45 AM IST - 01 Mar'26
Solved Questions for “Mathematical Induction” Chapter - Part 2
Check out another solved mathematical problem from the Mathematical Induction chapter:

10 30 AM IST - 01 Mar'26
Solved Questions for “Mathematical Induction” Chapter - Part 1
Check out a solved mathematical problem from the Mathematical Induction chapter:

10 15 AM IST - 01 Mar'26
Important Formulas for “Mathematical Induction” - Part 2
Important Standard Results (Frequently Asked in Exams)
These results are often proved using Mathematical Induction:
1. Sum of First n Natural Numbers
1 + 2 + 3 + … + n = n(n + 1) / 2
2. Sum of First n Odd Numbers
1 + 3 + 5 + … + (2n − 1) = n²
3. Sum of Squares of First n Natural Numbers
1² + 2² + 3² + … + n² = n(n + 1)(2n + 1) / 6
4. Sum of Cubes of First n Natural Numbers
1³ + 2³ + 3³ + … + n³ = [n(n + 1) / 2]²
5. Divisibility Type Results (Common Pattern)
To prove a number is divisible by k:
• Show it is true for n = 1
• Assume true for n = m
• Prove expression for n = m + 1 is also divisible by k10 00 AM IST - 01 Mar'26
Important Formulas for “Mathematical Induction” - Part 1
Principle of Mathematical Induction (PMI)
Let P(n) be a statement depending on a natural number n.
To prove P(n) is true for all n ≥ k:
Step 1: Base Case
Verify P(k) is true.Step 2: Induction Hypothesis
Assume P(m) is true for some natural number m ≥ k.Step 3: Inductive Step
Prove P(m + 1) is true under the assumption that P(m) is true.If both steps are satisfied, then P(n) is true for all n ≥ k.
09 45 AM IST - 01 Mar'26
“Functions” Chapter Mega Practice 3
- If the function f : R → R defined by f(x) = 3x+3−x/2, then show that f (x+y) + f (x-y) = 2 f(x) f(y).
- If the function f : R → R defined by f(x) = 4x/4x+2, then show that f (1 – x) = 1 – f(x) and hence reduce the value of f(14) + 2f(12) + f(34).
- If the function f : {-1, 1} → {0, 2} defined by f(x) = ax + b is a subjection, then find a and b.
09 30 AM IST - 01 Mar'26
“Functions” Chapter Mega Practice 2
- If A = {1, 2, 3, 4} and f: A → R is a function defined by f(x) = x2−x+1/x+1, then find the range of f.
- If g = 1(1,1), (2, 3), (3, 5), (4, 7)) is a function from A = {1, 2, 3, 4} to B = {1, 3, 5, 7}. If this is given by the formula g(x) = ax + b then find a and b.
09 15 AM IST - 01 Mar'26
“Functions” Chapter Mega Practice 1
- If f: R – (±1) → R is defined by f(x) = log∣1+x/1−x∣, then show that f(2x/1+x2) = 2f(x).
- If A = (-2, -1, 0, 1, 2) and f : A → B is a surjection defined by f(x) = x2 + x + 1, then find B.
09 00 AM IST - 01 Mar'26
“Functions” Chapter Sample Questions to Solve
Now that you are aware of the important formulas and how to approach related questions, it’s time to start practicing new questions. Start Now!
08 45 AM IST - 01 Mar'26
Solved Questions for “Functions” Chapter - Part 4
If A = {x / – 1 ≤ x ≤ 11, f(x) = x2, g(x) = x3 Which of the following are surjections
(i) f : A → A
(ii) g : A → A.
Answer:
i) Given A {x / – 1 ≤ x ≤ 1}, f(x) = x2
and f : A → A
Suppose y ∈ A
then x2 = y ⇒ x = ± √y
If x = √y and if y = – 1 then x = √-1 ∈ A
f : A → A is not a surjection.
ii) Given A = {x/-1 ≤ x ≤ 1), g(x) = x3
and g : A → A
Suppose ye A then x2 = y ⇒ x = y√3 ∈ A
If y = -1 then x = -1 ∈ A
y = 0 then x = 0 ∈ A
y = 1 then x = 1 ∈ A
g : A → A is a surjection.
08 30 AM IST - 01 Mar'26
Solved Questions for “Functions” Chapter - Part 3
If f (x + y) = f (xy) ∀ x, y ∈ R, then prove that f is a constant function.
Answer:
Given f (x + y) = f(x y) ∀ x, y ∈ R Suppose x = y = 0 then
f(0 + 0) = f(0 x 0)
⇒ f(0) = f(0) ………………..(1)
Suppose x = 1, y = 0 then then f (1 + 0) = f(1 x 0)
⇒ f(D = f (0) ……………(2)
Suppose x = 1, y = 1 then f (1 + 1) = f(1 x 1)
⇒ f(2) = f(1) …………….. (3)
f(0) = f(1) = f(2)
= f(0) = f(2)
Similarly f(3) = f(0), f(4) = f(0) …………. f(n) = f(0)
∴ f is a constant function.
08 15 AM IST - 01 Mar'26
Solved Questions for “Functions” Chapter - Part 2
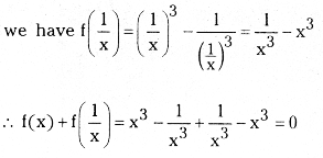
If f : R {0} → R defined by f(x) = x3 – 1/x3, then show that f(x) + f(1/x) = 0.
Answer:
Given f(x) = x3 – 1/x3

= cos 2θ
08 00 AM IST - 01 Mar'26
Solved Questions for “Functions” Chapter - Part 1
If the function f is defined by

then find the values of
(i) f(3)
(ii) f(0)
(iii) f(-1.5)
(iv) f(2) + f(- 2)
(v) f(- 5)
Answer:
(i) f(3), For x > 1; f(x) = x + 2
f(3) = 3 + 2 = 5
(ii) f(0), For – 1 ≤ x ≤ 1; f(0) = 2
(iii) f(-1.5), For – 3 < x < – 1; f(x) = x – 1
∴ f(-1.5) = -1.5- 1 = – 2.5
(iv) f(2) + f(-2); For x > 1, f(x) = x + 2
∴ f(2) = 2 + 2 = 4
For – 3 < x < – 1;
f(x) = x – 1
f(-2) = -2 – 1 = -3
f(2) + f (-2) = 4 – 3 = 1
(v) f(-5); is not defined such domain of ‘f’ is {x / x > – 3].
07 45 AM IST - 01 Mar'26
Important Formulas for “Functions” - Part 4
Inverse Function & Important Conditions
1. Condition for Inverse Function:
A function has an inverse if and only if it is bijective.2. Inverse Function Notation:
If f(x) = y, then f⁻¹(y) = x3. Property:
f(f⁻¹(x)) = x
f⁻¹(f(x)) = x4. Steps to Find Inverse:
Step 1: Replace f(x) with y
Step 2: Interchange x and y
Step 3: Solve for y
Step 4: Replace y with f⁻¹(x)07 30 AM IST - 01 Mar'26
Important Formulas for “Functions” - Part 3
1. Identity Function:
f(x) = x2. Constant Function:
f(x) = c3. Polynomial Function:
f(x) = a₀ + a₁x + a₂x² + … + aₙxⁿ4. Modulus Function:
f(x) = |x||x| = x, if x ≥ 0
|x| = −x, if x < 05. Signum Function:
sgn(x) = 1, if x > 0
sgn(x) = 0, if x = 0
sgn(x) = −1, if x < 007 15 AM IST - 01 Mar'26
Important Formulas for “Functions” - Part 2
Algebra of Functions
Let f(x) and g(x) be two functions.
1. Addition:
(f + g)(x) = f(x) + g(x)2. Subtraction:
(f − g)(x) = f(x) − g(x)3. Multiplication:
(fg)(x) = f(x) g(x)4. Division:
5. Composition of Functions:
(f/g)(x) = f(x) / g(x), g(x) ≠ 0
(f ∘ g)(x) = f(g(x))
(g ∘ f)(x) = g(f(x))07 00 AM IST - 01 Mar'26
Important Formulas for “Functions” - Part 1
Functions - Basic Definitions & Types
1. Definition of a Function
If every element of set A is associated with exactly one element of set B, then f: A → B is a function.2. Domain
Set of all possible input values (x-values).3. Codomain
Set B in f: A → B.4. Range
Set of actual output values f(x).5. Types of Functions
• One-One (Injective):
If f(a) = f(b) ⇒ a = b• Many-One:
Different inputs give same output• Onto (Surjective):
Range = Codomain• Into:
• Bijective:
Range ⊂ Codomain
One-One and Onto06 45 AM IST - 01 Mar'26
Maths 1A Exam 2026 - Only One Day Left!
With just one day to go for the Mathematics 1A Exam 2026, this is not the time to panic or experiment. Students appearing for the exam tomorrow should avoid starting any new chapters now. Last-minute learning of untouched topics often creates confusion and affects confidence. Instead, revise formulas, important theorems, and previously practiced problems, especially from high-weightage areas
06 30 AM IST - 01 Mar'26
Intermediate 1st Year Maths Syllabus
You can download the complete syllabus for the Maths 1A exam 2026 from here! Download it and save it for quick reference.
06 15 AM IST - 01 Mar'26
TG Inter Maths 1A Paper Expected Blueprint
You can expect the following number of questions from the given chapters. Remember, this is just an expected distribution of questions; it does not need to be taken as a confirmed blueprint:
Topic Name
2 Marks
4 Marks
7 Marks
Mathematical Functions
02
-
01
Mathematical Induction
-
-
01
Matrices
02
01
02
Addition of vectors
02
01
-
Multiplication of vectors
01
01
01
Trig Upto Transformations
02
01
01
Trigonometric
-
01
-
Inverse trigonometric functions
-
01
-
Hyperbolic functions
01
-
-
Properties of a Triangle
-
01
01
06 00 AM IST - 01 Mar'26
What to expect in the Maths Question Paper?
You can expect the question paper to include the following:
Section
Questions
Instructions
Section A
10 questions carrying 2 marks each
All questions are compulsory
Section B
7 questions of 4 marks each
You have to attempt 5 questions out of the total
Section C
7 questions of 7 marks each
You have to attempt 5 questions out of the total










